May 2015 Trade Statistics and activity
Took fewer trades than last month - stellar Win/Loss Ratio and Ave. Win percentage as a result.
Ave. Tick Gain/Loss numbers and Tick Win/Loss ratio much lower than last month due to trading the RUT almost exclusively.
Bottom line was OK considering the low number of trades taken.
Ave. Tick Gain/Loss numbers and Tick Win/Loss ratio much lower than last month due to trading the RUT almost exclusively.
Bottom line was OK considering the low number of trades taken.
This page is a daily statistical summary including most of my trades. The charts usually combine before
and after snapshots - one that captures what I saw as entry rationals and the other for the results.
Day & Date ... Winning/Losing/Break-even ... tick Gain/Loss and Net Dollar amount
Friday 05/29/2015...3/1/0...+ or +18 or $86
Thursday 05/28/2015...2/0/0...+16 or +$148
Wednesday 05/27/2015...3/2/0...+23 or +$200
I usually won't hold a position through 9:30 when the majors open for the reason below...
Reverse divergences in an up trend on the 60 tick...a nice set up for a Continuation Slingshot
Great signals mixed between the 30 and 60 tick...
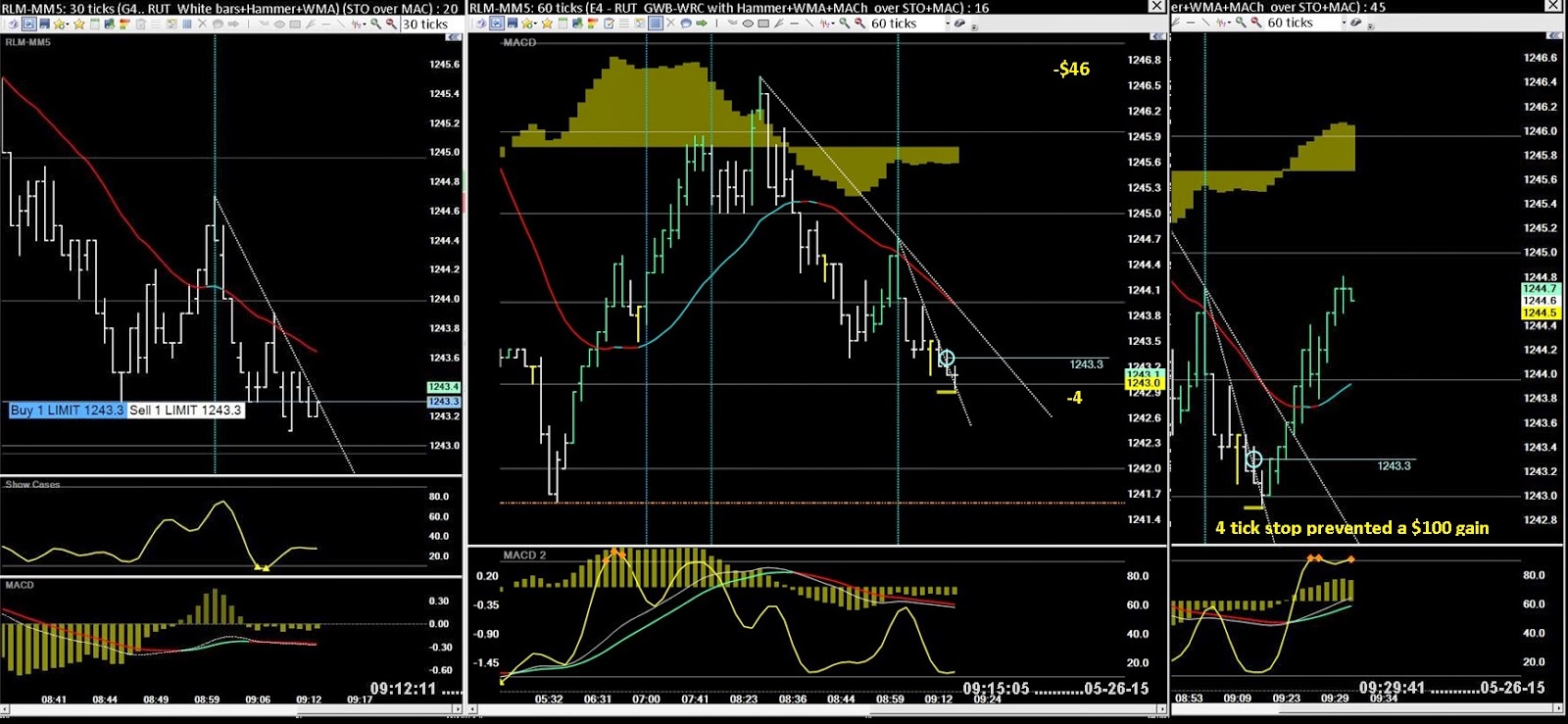
Tuesday 05/26/2015...3/1/0...+14 or +$116
Friday 05/22/2015...2/1/0...+11 or +$92
A good trade...
...but missed the one that followed
Thursday 05/21/2015...1/0/0...+10 or +$94
Wednesday 05/20/2015...4/0/0...+39 or +$366
Having already had a good day had me to thinking "killer" runner to close it out...normally greed kills
Tuesday 05/19/2015...1/0/0...+3 or +$24
Monday 05/18/2015...2/0/0...+11 or +$98
Was not paying attention for this...
Scalped a bit on this Continuation Sling...
Playing the TLB Re-Test after DIV & 2B...was taking too long -
no pop after 5 minutes with diminishing activity...
Friday 05/15/2015...1/0/0...+2 or +$19
Thursday 05/14/2015...2/2/0...+7 or +$36
These two show the difference between spotting signals using the LT chart to confirm those on the ST
Changed markets...playing the RUT
...and back to the YM
Wednesday 05/13/2015...no trades
Tuesday 05/12/2015...no trades
Monday 05/11/2015...1/0/0...+4 or +$44
Friday 05/08/2015...1/0/0...+5 or +$56
Thursday 05/07/2015...3/0/0...+16 or +$181
No sense giving any back this late in the day...
Wednesday 05/06/2015...no trades
Long tails printed on the dailies. The past two days have had 50-60% higher volume than I've seen in weeks -
Maybe not quite "blow-out bottom" volume but combined with the tails and with prices flirting with
their respective trend lines, we could be on our way back up again.
Good signals are failing to produce winning trades...


















































